Grabowski
Sachverständigenbüro Bernhard Grabowski

Buttermelcherstr. 17
80469 München
Tel: +49 89 520 59 500
Mobil: +49 172 733 2 337
email: wert@grabowski.net

CIS HypZert
Recognised European Valuer

BiiS

Home Gutachten Due Diligence Honorar Team Referenzobjekte iGrabowski

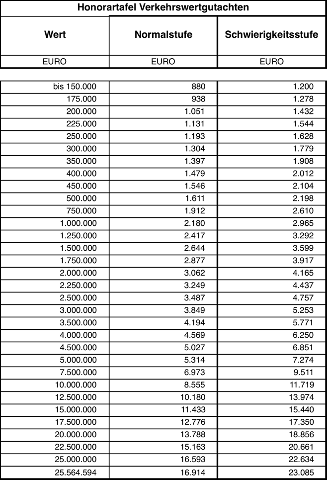
Grundsätzlich legen wir das Honorar bei der Vorbesprechung gemeinsam fest. Als Orientierung für das Basishonorar dient hierbei die Honorartafel für Architekten und Ingenieure (in Anlehnung an § 34 Honorarordnung für Architekten und Ingenieure, Stand 2001).

Honorartafel Verkehrswertgutachten Print Page (Seite drucken)

Honorartabelle Verkehrswertgutachten

Zwischenwerte ermitteln wir durch Interpolation.

Die Preise gelten zzgl. der gesetzlichen MwSt für die Anwendung des oder der ausschlaggebenden Verfahren (Sach-, Ertragswert- oder Vergleichswertverfahren). Kommt nur ein Verfahren zur Anwendung, erfolgt kein Abschlag.


Nicht im Basishonorar enthalten sind:

  • Porto und Versand, Schreibgebühr, Telefon, Porto, Büromaterial, Fahrtspesen sowie die MwSt..
  • Werden mehrmalige Ortsbesichtigungen erforderlich die nicht durch den Sachverständigen zu verantworten sind, so wird der Mehraufwand nach Zeitaufwand mit einem Stundensatz in Höhe von € 160,- zzgl. MwSt. berechnet.
  • Die Schreibgebühr wird mit einem Stundensatz in Höhe von € 40,- zzgl. MwSt. berechnet. Die Fahrtspesen werden mit € 0,60 pro km zzgl. MwSt. berechnet.
  • Entfällt eine Gutachtenerstattung aus Gründen die der Sachverständige nicht zu verantworten hat, wird der bis dahin angefallene Zeitaufwand nebst Auslagen in Ansatz gebracht.

Sie finden in uns einen kompetenten und weit gereisten Ansprechpartner mit der Fähigkeit, sich schnell und flexibel in den jeweiligen Teilmarkt einzuarbeiten und die für Sie passende Lösung zu erstellen.

Das Honorar für Due Diligence Mandate und Portfoliobewertungen wird abweichend in Abhängigkeit zu Volumen und Zeitraum individuell vereinbart.

Wir kümmern uns um Ihre Werte - guter Service steht bei uns daher an erster Stelle.

Bernhard Grabowski - wert@grabowski.net

Impressum - Haftungsausschluss - Disclaimer
HypZert GmbH iGrabowski REV TEGoVA Sachverständigenbüro Bernhard Grabowski iGrabowski in the Apple Appstore